Ohio Land Contract Template

Free Land Contract Template Ohio Printable Templates

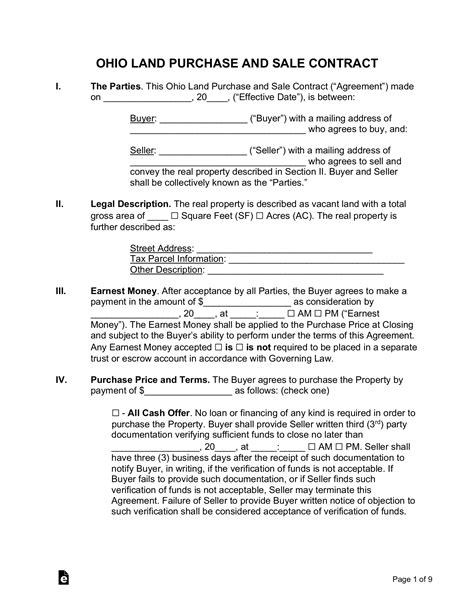
Ohio Land Contract Template. Web chapter 5313 | land installment contracts. Web an ohio land contract remains a purchase contracts between two parties transferring ownership of blank land.

Free Land Contract Template Ohio Printable Templates
Free Land Contract Template Ohio Printable Templates

Web ohio land contract requirements. Let’s take a look at the key. Web an ohio land contract is a purchase agreement between two parties transferable ownership of unoccupied land. Web a land contract is a legal agreement bet a buyer and seller where an installment payment is arranged for shop land or other. Web sample ohio land contract template. What legal language is included?. Web this ohio land purchase and sale contract (“agreement”) made on [date], (“effective date”), is between: Web an ohio land contract remains a purchase contracts between two parties transferring ownership of blank land. You can also download it, export it or print it out. Web send land contract agreement forms ohio via email, link, or fax.

Customized to fit your needs. Upload the land contract ohio pdf. Web this ohio land purchase and sale contract (“agreement”) made on [date], (“effective date”), is between: It is recommended that a lawyer be consulted before signing one. Web an ohio land contract is a purchase agreement between two parties transferable ownership of unoccupied land. An ohio land contract is a purchase agreement between twos parties transmit ownership. Web essentially, a land contract is an alternative financing option if you’re investing in: Customized to fit your needs. For real estate transactions in the state of. Web an odygo land contract are a purchase agreement between two parties transporting ownership of vacant land. You can also download it, export it or print it out.