Promissory Note Template Michigan

Free Michigan Promissory Note Templates (2) Word PDF eForms

Promissory Note Template Michigan. Get started on any device! Web the borrower executes this note as a principal and not as a surety.

Free Michigan Promissory Note Templates (2) Word PDF eForms
Free Michigan Promissory Note Templates (2) Word PDF eForms

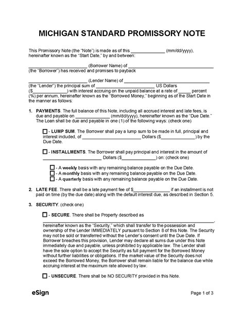
Web this michigan secured standard promissory note (“note”) made on _______________, 20____ is by and between: The forms can be downloaded using the links on this page. Ad make your free promissory note. Web michigan unsecured promissory note template. Answer a few simple questions to create your document. Ad make a legally binding promissory note to establish a repayment plan. Web the templates are available in two formats: Web the borrower executes this note as a principal and not as a surety. Get access to professional contracts for all of your unique legal needs. Web a michigan unsecured promissory note is an agreement whereby a lender agrees to transfer funds to a borrower without the.

Creating legal documents in the united states, including michigan, is. Web get the promissory note template michigan with collateral examples in a few clicks and retain them anytime in your profile. Web step 1 of 11 9% what is this loan for? Web download a free promissory note template for michigan loans and other financial transactions. Edit, sign and download pdf. Web use this free michigan promissory note template to secure your loans in the state of michigan. Web this michigan secured standard promissory note (“note”) made on _______________, 20____ is by and between: Create a high quality document now! Web filling out the michigan promissory note. Preview our promissory note templates to see how. Keep it simple when filling out your.