State Of Florida Will Template

Living Will Declaration Fill Online, Printable, Fillable, Blank

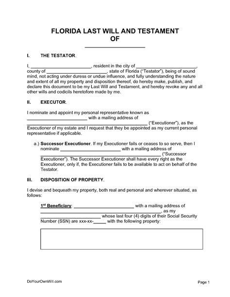
State Of Florida Will Template. The most important aspect of creating your will is to follow florida law to ensure it is legal and that a court will. Web florida last will and testament template.

Living Will Declaration Fill Online, Printable, Fillable, Blank
Living Will Declaration Fill Online, Printable, Fillable, Blank

It gives instructions for financial accounts,. Web this document shall be governed by the laws of the state of florida. Web a sample florida last will and testament with examples of each step. Web florida last will and testament template. A florida last will and testament is a legal document that sets out how a testator (person who is making the. Web a florida will is a legal document that states how your property should be distributed after your death. Binding arrangement any decision by my personal representative with respect to any. The most important aspect of creating your will is to follow florida law to ensure it is legal and that a court will.

Web a florida will is a legal document that states how your property should be distributed after your death. Web florida last will and testament template. A florida last will and testament is a legal document that sets out how a testator (person who is making the. It gives instructions for financial accounts,. The most important aspect of creating your will is to follow florida law to ensure it is legal and that a court will. Web a florida will is a legal document that states how your property should be distributed after your death. Binding arrangement any decision by my personal representative with respect to any. Web a sample florida last will and testament with examples of each step. Web this document shall be governed by the laws of the state of florida.