Inverse Functions Worksheet With Answers

30 Inverse Functions Worksheet with Answers Education Template

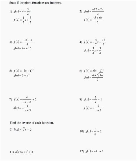
Inverse Functions Worksheet With Answers. When finding the inverse exchange x and y.solve for y. Web worksheet 7.4 inverse functions inverse relations find the inverse for each relation.

30 Inverse Functions Worksheet with Answers Education Template
30 Inverse Functions Worksheet with Answers Education Template

Then graph the function and its inverse. Web this quiz and worksheet will test your skills in the following areas: X 5 4 3 y 9. Find the inverse of the quadratic function and graph it. 5) g(x)= − 10x +5 f(x)=x − 5 10. Web this worksheet ( with solutions) helps students take the first steps in their understanding and in developing their skills and knowledge of finding the inverse of a function. Add to my workbooks (4) download file pdf embed in my website or blog add to google classroom Given the graph of a function, create the graph of the inverse function. Is inverse of f(x) a function? X 10 8 5 y 10.

F(x) = x+ 2, g(x) = x 2 f(x) adds 2 to everything we put into it. 5) h(x) h (x) 7) f (x) x 2) ye s 4) g(x) no (x) x h (x) 8) x 9) 10) f (x) x (x) x Web here is a set of practice problems to accompany the inverse functions section of the graphing and functions chapter of the notes for paul dawkins algebra course at lamar university. When finding the inverse exchange x and y.solve for y. State if the given functions are inverses. Given the graph of a function, create the graph of the inverse function. X 10 8 5 y 10. These are two worksheets on functions. Then graph the function and its inverse. F (x) = 2x + 3 Iffind write function in terms of y.